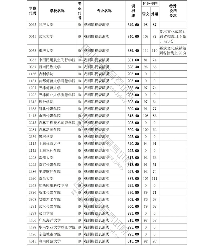
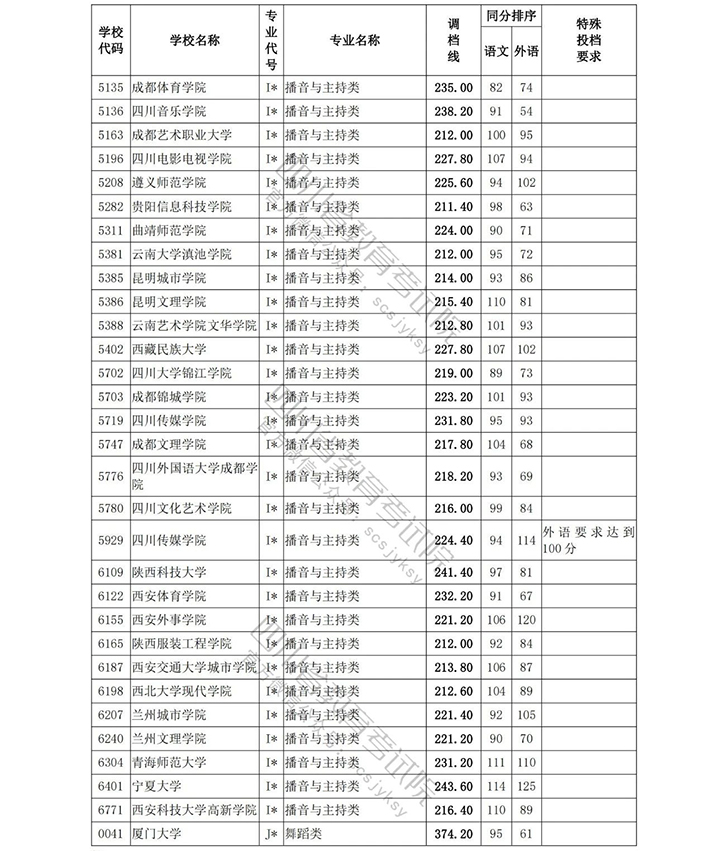
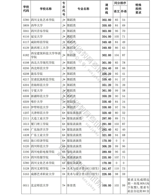
2023年四川普通高校招生艺术类本科第一批、体育类本科批录取工作已于7月21日开始,共投出36528份电子档案,其中艺术类27313份、体育类9215份。
参与艺术类本科第一批、体育类本科批录取的院校,均为使用四川省专业统考成绩且实行平行志愿投档办法的省内外本科层次学校,共485所,招生计划36849名,同比增加645名,增幅为1.78%。
今年四川省艺术类本科第一批、体育类本科批招生平行一志愿投档后,执行计划整体满足率为99.13%,艺术类为98.83%、体育类为100%。未完成计划将于7月24日开始征集志愿,届时考生可关注省教育考试院官方网站和官方微信公布的征集志愿相关通知,了解征集志愿填报的相关信息。




















































及时了解更多高考政策信息、院校与专业选择、职业规划、学习方法、情绪管理、家庭教育等,可添加微信好友:jh211985,备注高考年份,邀请入群)